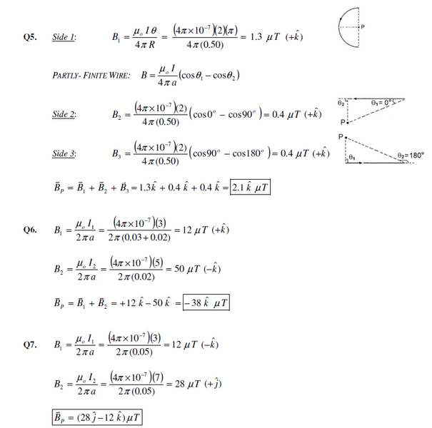
File:A9 NYB 5 6 7 SOL.png

From pwiki
Revision as of 21:02, 19 April 2011 by Nuzhat (talk | contribs)
(diff) ← Older revision | Latest revision (diff) | Newer revision → (diff)
Jump to navigation Jump to search

Original file (822 × 815 pixels, file size: 84 KB, MIME type: image/png)

File history

Click on a date/time to view the file as it appeared at that time.

Date/TimeThumbnailDimensionsUserComment
current16:09, 30 November 2021Thumbnail for version as of 16:09, 30 November 2021822 × 815 (84 KB)Lentonk (talk | contribs)== Summary == Importing file

There are no pages that use this file.